Escape velocity
From the Quicksilver Metaweb.
This is an intermediate page for Escape velocity.
Stephensonia
It seems that there's something about Robert Heinlein's Juveniles that writers just gravitate to.
Authored entries
- Heinlein:Robert:Have Space Suit Will Travel:40:Almost halfway to the Moon, I'd say (Neal Stephenson)
Community entry: Escape velocity
An escape velocity is the minimum speed at which an object without propulsion can move away from a source of a gravitational field indefinitely if there is no friction. (This definition may need modification for the practical problem of two or more sources in some cases. In any case, the object is assumed to be a point with a mass that is negligible compared with that of the source of the field, usually an excellent approximation.) It is commonly described as the speed needed to break free from a gravitational field, but this is inaccurate because gravitational fields are infinite in extent.
One somewhat counterintuitive feature of escape velocity is that it is independent of direction, so that "velocity" is a misnomer; it is a scalar quantity and would more accurately be called "escape speed".
The simplest way of deriving the formula for escape velocity is to use conservation of energy.
Defined a bit more formally "escape velocity" is the initial speed required to go from an initial point in a gravitational potential field to infinity with a residual velocity of zero, relative to the field. In common usage, the initial point is a point on the surface of a planet or moon. It is a theoretical quantity, because it assumes that an object is fired into space like a bullet. Instead propulsion is almost always used to get into "space". It is usually in "space" that the idea gets a more concrete meaning. On the surface of Earth the escape velocity is about 11 kilometres per second. However, at 9000 km from the surface in "space," it is slightly less than 7.1 km/s. Continual acceleration from the surface to attain that speed at that height is possible. At no time would the "escape velocity" of 11 km/s be attained; yet at that height, even with zero propulsion now, the object can move away from Earth indefinitely.
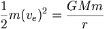
For a simple case of escape velocity from a single body, escape velocity can be calculated as follows:

where ve is the escape velocity, G is the gravitational constant, M is the mass of the body being escaped from, "m" is the mass of the escaping body (cancels out), and r is the [distance between the center of the body and the point for which escape velocity is being calculated.
Related entries
- Heinlein:Robert:Have Space Suit Will Travel
- Einstein's Principle of Equivalence
- Calculus
- Constant
- Vector
- Scalar
- Algebra
- Low earth orbit (LEO)
- Kinetic energy
- Numerical techniques
- Squared
- Meters per second squared
- Annotations of books other than Quicksilver
- Albert Einstein
- Mass
- Meter
- Stephenson:Neal:Quicksilver:804:in fact it was a vector (Olivier Gerard)